美元走软后,黄金价格变化不大,交易员们正在权衡如何遏制中东战争引发的石油供应冲击。
金价早盘接近每盎司5000美元,此前一个交易日下跌0.3%。油价在周一下跌后回升,投资者正在评估紧急储备的释放情况,以应对能源基础设施面临的日益严峻的威胁。与此同时,美元指数下跌0.6%。美国总统特朗普呼吁其他国家帮助确保霍尔木兹海峡的安全,目前原油运输几乎完全停滞。
美以对伊战争已进入第三周。周一,德黑兰袭击了波斯湾沿岸多个目标,其中包括阿联酋境内一个重要的石油枢纽和一个大型天然气田。与此同时,特朗普威胁要扩大对伊朗哈尔克岛的打击范围,以打击其石油基础设施。
随着冲突持续,通胀威胁加剧,美联储降息的可能性也日益渺茫。交易员们现在几乎认为本周的美联储会议没有降息的可能。借贷成本上升通常会对不支付利息的贵金属构成压力。
尽管近期有所回调,但黄金今年以来仍上涨约16%,地缘政治不确定性和美联储独立性受到的威胁支撑了避险资产的需求。对滞胀(经济增长放缓和高通胀并存)的担忧从长远来看对黄金有利,提升了黄金作为价值储存手段的吸引力。
技术面分析:
微信功能不定期受限,要体验插件的同学请在加好友时备注下联系方式,方便我们回加!!!
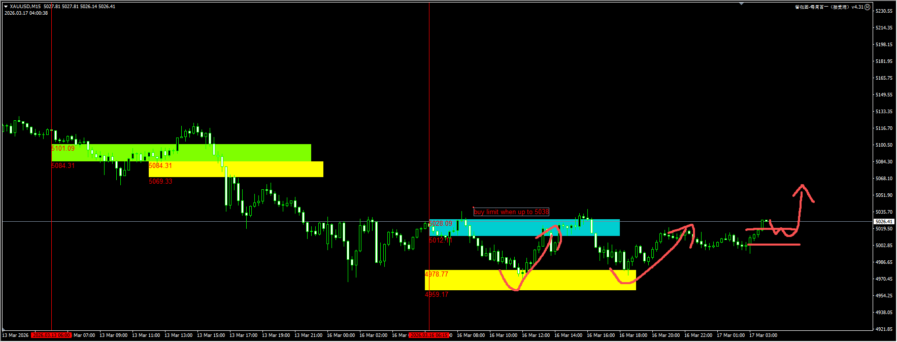
黄金:隔夜价格还是连续2次刷新我们黄色区域之后,才开始反弹。不过价格并未有效突破我们蓝色区域的触发条件5038。日内价格以横盘震荡的形态,尝试对5038/40的阻力区域发起冲击,如果日内能完成突破,可以考虑1次多头信号的尝试。详细位置请咨询插件。

(黄金 15min图)
插件每个交易日12:00-13:00更新,想要体验图中同款插件请联系V:Hana-fgfg 备注一下你的联系方式,方便我们回加
纳指:前文种我们明确提醒了,价格收复24500的话,可以反弹至24650/24700区域。隔夜价格最高反弹触及24799,目前正在回踩寻求支撑的确认。日内我们推荐关注24400/24450区域流动性扫荡之后,再抓反弹信号。详细位置请咨询插件。

(纳指 15min图)
插件每个交易日12:00-13:00更新,想要体验图中同款插件请联系V:Hana-fgfg 备注备注一下你的联系方式,方便我们回加
原油:昨天价格自102附近回落至93左右,振幅接近10%,符合我们对原油宽幅震荡的预判。日内价格从93附近反弹收复95/96水平,可能会向98/99发起冲击。我们日内建议等待向上扫荡完流动性之后,寻找回落时的空头信号。详细位置请咨询插件。

(原油 15min图)
插件每个交易日12:00-13:00更新,想要体验图中同款插件请联系V:Hana-fgfg 备注备注一下你的联系方式,方便我们回加

